Skip to main content

Теория: Площадь и периметр (короткая версия)

Задание

Ширина прямоугольника равна \(\displaystyle 5\) м, а его длина в \(\displaystyle 1{,}3\) раза больше ширины. Найдите периметр прямоугольника.

23
м
Решение

Напомним

Правило

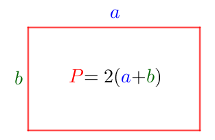
Периметр прямоугольника

Если длина прямоугольника равна \(\displaystyle \color{blue}{a}\small,\) а ширина – \(\displaystyle \color{green}{b}\small,\) то его периметр \(\displaystyle \color{red}{P}=2(\color{blue}{a}+\color{green}{b})\small.\)

По условию ширина \(\displaystyle \color{green}{b=5}\small,\) а длина в \(\displaystyle 1{,}3\) раза больше. То есть равна

\(\displaystyle \color{blue}{a=5\cdot 1{,}3=6{,}5}\) м.

Тогда периметр равен

\(\displaystyle \color{red}{P}=2(\color{blue}{a}+\color{green}{b})=2(\color{blue}{6{,}5}+\color{green}{5})=2\cdot11{,}5=23\) м.

Ответ: \(\displaystyle 23\) м.